Подзаголовок сайта
Блок контроля (БК) (см. Рисунок 331) предназначен для обработки сигналов от выключателей РУКП и вывода информации водителю о состояниях коробки передач и сцепления.

Рисунок 331 — Блок контроля
1 — тумблер включения питания; 2 —
индикатор состояния; 3 — индикатор короткого замыкания в цепи
электропневмоклапанов; 4 — индикатор состояния коробки передач; 5 — разъем X1; 6
— жгут с разъемом Х2; 7 — держатель предохранителя; 8 — блок контроля; 9 —
панель приборов; 10 — провод массы
На лицевой панели блока контроля расположены:
- тумблер включения питания 1;
- индикатор состояния сцепления 2;
- индикатор короткого замыкания в цепи электропневмоклапанов 3;
- индикаторы состояния коробки передач 4.
На задней панели блока контроля расположены:
- разъем 5 для присоединения жгута соединительного;
- жгут 6 с разъемом для присоединения к РУКП;
- держатель предохранителя 7.
На боковой панели БК расположен провод «массы» 10 блока защиты сети (БЗС), установленного внутри корпуса и предохраняющего БК от перенапряжений в сети АТС.
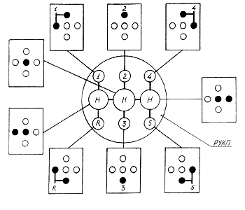
На Рисунке 334 приведена схема состояния индикаторов в соответствии с положением рукоятки РУКП для коробки передач КамАЗ-14.

Рисунок 334 — Индикация включения передачи на блоке контроля в соответствии с положением рукоятки рычага управления коробкой передачи (для КП КамАЗ-14)
Состояния индикаторов при включении различных передач для различных моделей коробок передач приведены в Таблице 50.
Таблица 50
|
Номер передачи в коробке передач |
Состояние индикаторов | ||
|
КП КамАЗ-14 |
КП КамАЗ-141 |
КП ЯМЗ-236 | |
|
Нейтраль выбран шток 4/5 передач
|
○ ○ ○ |
○ ○ ○ |
○ ○ ○ |
|
Задний ход |
○ |
○ |
● |
|
Первая |
● |
● |
○ |
|
Вторая |
● |
● |
● |
|
Третья |
○ |
○ |
○ |
|
Четвертая |
● |
○ |
○ |
|
Пятая |
○ |
● |
● |
Примечание: «○» — индикатор выключен; «●» — индикатор включен.





